照屋 慧悟[修士1年]
情報科学研究科 情報システム工学専攻 土屋研究室
●滞在先:ベルガモ大学 (University of Bergamo), Dalmine, Italy
●渡航期間:2025年11月1日~2025年11月30日
はじめに
私は2025年11月1日から11月30日の一カ月間イタリア・ロンバルディア州にあるThe University of BergamoにてAngelo Gargantini教授のもと研究を行いました。そこでの研究や生活、文化について報告いたします。
イタリア・ベルガモ
ベルガモは、イタリア・ロンバルディア州の北側に位置する街でミラノから電車で50分程の距離にあります。公用語はイタリア語で、レストラン等では基本的にイタリア語で会話します。ベルガモは街がCittà AltaとCittà Bassaとの二つに分かれています。Città Altaは上の街という意味で文字通り丘の上にあります。この街はルネサンス時代の街並みが残り古い建物だと600年前に建てられた家などもあります。基本的には観光地となっていて、レストランや、お土産を買うお店、教会や博物館が多くあります。変わったレストランで言えば、昔は刑務所だったレストランがあり、その名残である鉄格子がそのまま残っているような内装をしている、そんなお店もありました。一方Città Bassaは下の街という意味で、こちらは現代的なヨーロッパの街並みといった形で、電車の駅や市役所、病院などは全てこちらのCittà Bassaにあります。この二つの地域を行き来するにはロープウェイを用いたり、徒歩でも行こうと思えば行ける距離にあります。


The University of Bergamo
ベルガモ大学(Università degli Studi di Bergamo / UniBG)は、ベルガモを拠点とする公立大学で、語学系の教育機関として1968年に設立され、その後経済、法、工学などへ領域を拡張してきました。([Università degli Studi di Bergamo][1])
現在は、学部・大学院教育に加え、研究資金の支援や国際共同研究、地域・企業との連携(いわゆる“third mission”)にも力を入れています。([Università degli Studi di Bergamo][2])
教育・組織:工学、経営・経済、法学、人文科学、外国語など複数の学術領域をカバーする学部(Departments)で教育研究を行っています。([Università degli Studi di Bergamo][3])
キャンパス:市内各所に分散した“widespread campus”として運営され、工学系はダルミネ方面のキャンパスを含みます。([Università degli Studi di Bergamo][4])
研究:研究者支援・国際共同研究・外部資金獲得を重視し、研究領域(research areas/projects)や研究センターの枠組みを整備しています。([Università degli Studi di Bergamo][2])
基本的に会話は英語で行われており、今回一緒に研究したGargantini教授のラボにはイタリア人の他にアルゼンチンから来た人やそのほかの国からも何人か来ていました。普段はvisiting studentの部屋で研究を行い、その部屋にはデンマークやインドなど幅広い国から学生を受け入れている印象でした。研究に煮詰まったらみんなでコーヒーマシーンの前に集まって雑談をしたり、外に出てタバコを吸うなどしていました。皆さんとても優しく、また博士の学生が非常に多かったので、海外の大学の博士がどのような生活を送っているのかを知ることができました。
[1]: https://en.unibg.it/university/about-us/history-and-identity?utm_source=chatgpt.com "History and Identity | Università di Bergamo"
[2]: https://en.unibg.it/research?utm_source=chatgpt.com "Research | Università di Bergamo"
[3]: https://en.unibg.it/university/organization-and-structure/departments?utm_source=chatgpt.com "Departments | Università di Bergamo"
[4]: https://en.unibg.it/university/about-us/campuses?utm_source=chatgpt.com "Campuses - University of Bergamo - UniBg"

研究内容
ベルガモ大学での滞在研究では、制約付き組み合わせテスト(Constrained Combinatorial Testing)の枠組みで、マルチラベル分類器を評価するためのテストケース集合を自動生成する手法について、論理制約を含む条件で比較実験できる基盤を整備した。目的は、複数の生成手法を同一条件で走らせ、生成時間、テストケース数、および「テストするべきタプル(例:τ-wayの組合せ)」をどの程度満たせたかを、一貫した指標で継続的に評価できる状態を作ることである。
滞在前の前提と課題
日本で進めていた研究では、複数のテスト生成手法(Greedy系、メタヒューリスティック等)を用い、テストケース集合の生成性能を比較していた。しかし、当時の実験環境では、論理制約(例:A⇒C、AとBは同時に成り立たない等)を入力モデルとして扱えず、実験は「制約なし/制約が弱い条件」に偏っていた。現実のソフトウェア設定や機能フラグでは論理制約が一般的であり、制約を導入した瞬間に探索空間や生成難易度が変化するため、論理制約を含む条件で手法を比較できる環境が必要だった。
滞在中に行ったこと(ツール統合と実験基盤の整備)
滞在中は、Gargantini教授が扱うツール群・モデル形式を自分の実験環境に統合し、論理制約を含むモデルを入力としてテストケース集合を生成できるようにした。具体的には、CTWedge形式などで記述されたモデル(パラメータ・値・論理制約)を読み込み、内部表現に変換して各生成手法へ渡すパイプラインを整備した。さらに、複数手法の実行ログ(時間計測、生成サイズ、達成したタプル数など)と結果を同一フォーマットで出力し、反復実験と比較分析を継続的に回せる状態を作った。
今回の提案・整備したアルゴリズムの流れ(処理フロー)
今回の滞在で核となったのは、「論理制約があるときに、テストするべきタプルのうち実現不可能なものが混じる」という問題を、生成前の段階で判定・除外できる形に整えることである。これにより、生成アルゴリズムが存在しない解を探して時間を浪費したり、評価の分母(比較の前提)が揺らいだりすることを防ぐ。
実際の処理は、概ね次の流れで構成した。
1) モデル読込と正規化
1. CTWedge等のモデルを読み込む
2. パラメータと値の集合、および論理制約を内部表現へ変換する
3. 以後の処理(判定・生成・検証)で同じ形式を参照できるように統一する
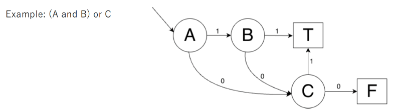
2) 論理制約のBDD化(判定を高速・機械的に行う準備)
1. 論理制約を BDD(Binary Decision Diagram) に変換する
2. これにより、「ある部分的な設定(部分タプル)を固定したときに、残りの変数に割当が存在するか(充足可能か)」を機械的に判定できるようにする
o 直感的には、「部分的に決めた条件をBDDに与えたとき、矛盾せずに成立する解が残るか」を見る操作になる
3) テストするべきタプルの実現可能性チェック(事前フィルタ)
1. 評価対象とする τ-way のタプル(例:ペアなら2-way)を列挙する
2. 各タプルについて、「そのタプルを固定した状態でBDDが充足可能か」を判定する
3. 充足不能ならそのタプルは“実現不可能”として扱い、生成・評価の対象から外す
o 重要点:論理制約があると、(A、B)だけ見れば成立しても、制約がCなどを強制して最終的に矛盾する場合がある
o これを放置すると、生成側は存在しないテストケースを探し続け、評価側も「テストできないタプル」を分母に含めてしまう
4) テストケース集合の生成
事前フィルタ後に残った「実現可能なタプル」をできるだけ多く満たすように、テストケース集合を生成する。生成そのものは比較対象のアルゴリズム(Greedy系、サンプリング、焼きなまし等)を差し替えられるようにし、同じ入力・同じ判定器・同じログ形式で比較できるよう統一した。
• 候補となるテストケース(設定の割当)を作る
• そのテストケースが新たにどれだけ未達のタプルをテストできるかを評価する
• 改善が見込めるものを採用し、必要なら削除・置換などの調整(局所探索)を行う
• 目標(時間・達成率・テスト数の制約など)に応じて停止する
5) 事後検証と記録(再現性の確保)
1. 生成されたテストケース集合が論理制約を満たしていることを検証する
2. 達成タプル数、達成率、生成時間、テストケース数を記録する
3. seedやパラメータを変えた反復実験を行い、結果をCSV等に統一形式で保存する
得られた知見(今回わかったこと)
• 論理制約を導入すると、評価の前提(満たすべきタプルの集合)が変わる。 制約なしでは全タプルが対象になるが、制約付きでは「そもそも実現できないタプル」が混ざるため、単純なカバレッジ比較は不公平になりうる。
• “部分では成立”でも“全体では不成立”が起きる。 論理制約により別の変数が強制され、結果として矛盾が発生するなど、局所的な見かけと全体整合性がずれる。
• BDDは実現可能性判定に有効だが、大規模化でボトルネックになり得る。 パラメータ数が大きいと、判定や前処理のコストが支配的になる可能性がある。
今後の展開
今後は、本滞在で整備した「論理制約を含む比較実験基盤」を土台に、(1) 論理制約以外の制約(より複雑な依存関係や全体制約)への対応、(2) 大規模パラメータへのスケール(前処理の高速化や切替戦略)、(3) 実験パイプラインの自動化・再現性強化(ログ・検証・可視化の標準化)を進めたい。これにより、現実のソフトウェア設定に近い条件で、テストケース集合生成手法の強み・弱みをより確実に比較し、研究としても実務的にも説得力のある結論へつなげることを目指す。

図2:BDDの例

図1:大まかな提案アルゴリズムの流れ
終わりに
最後に、本滞在を通じて、研究そのものだけでなく、自分の姿勢や進め方の面でも大きな学びがありました。異なる研究環境の中で、前提や用語、ツールの使い方をすり合わせながら議論を重ねることで、「分からない点を曖昧にせずに確認する」「再現性を意識して手順と結果を整理する」「相手に伝わる形で説明する」といった研究者として基本的で重要な姿勢を、実践を通して身につけることができました。また、研究の方向性を自分の言葉で説明し、指摘を踏まえて方針を修正しながら前に進める経験は、今後の研究活動における大きな自信につながりました。
本研究を受け入れてくださり、日々のディスカッションや技術面での助言を通じて貴重な機会を与えてくださったGargantini教授やAndreaさんに、心より感謝申し上げます。特に、研究上の課題を具体化し、論理制約を含む形で実験基盤を整備する方向へ導いていただいたことは、本滞在の成果の中心となりました。また、日本側で日頃からご指導いただき、滞在に向けた準備や研究方針の整理、現地で得た知見の位置づけについて継続的に支えてくださった土屋先生にも深く御礼申し上げます。両研究室のご指導とご支援があってこそ、本滞在は研究面・人間面の双方で実りあるものとなりました。ここで得た学びを今後の研究の深化と成果の発信につなげていきたいと思います。